技术业务张经理:139-1328-9739
Toggle navigation
导航菜单
网站首页
星空sports
关于我们
企业文化
产品中心
耐高温过滤器
高效过滤器
xk星空体育app
xk星空体育
xingkong体育中国官网
xk-星空体育
ar星空软件下载
新闻中心
wwe星空体育
flfa星空体育
科技创新
应用案例
星空体育手机版网页入口
hk星空体育
质量体系
资质证书
联系我们
行业新闻
高效过滤器的袋式除尘器主要性能指标是什么?
高效过滤器
的袋式除尘器主要性能指标是什么?
一、除尘效率
陈尘效率是表示除尘器净化性能的重要技术指标,根据需要可分离选择“除尘器全效率”、“通过率”、 ‘分级效率”进行描述。
1.除尘器全效率y(%)
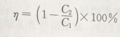
全效率7是指在同一时间内除尘器捕集的粉尘质量占进入除尘器粉尘质量的百分数。全效率表示的是除尘装置的集体效果或平均效果,其表达式为
(6-1)
式中Q1、 Q2-进口和出口气体流量, m'/s;
G、G2-进口和出口粉尘质量流量,g/s;
C、Ca进口和出口气体含尘浓度, g/mi。若装置不漏风,且进出口状态相同,Q=Q,则有
(6-2)
2.通过率P(%)
通过宰P是指在同时间内,除尘器出口的粉尘质量和人口总粉尘质量之比,计算式为
(6-3)
3.分级效率
分级效宰是指除尘装置对某粒径dn (或粒径范围Adp)粉尘的除尘效率,用办表示。分级效率表示的是净化设备对不同粒径粉尘分离捕集的效果,即
(6-4)
式中Gi、 Gz、G3进口、 出口与捕集的dp颗粒质量流量,g/s.。
4.除尘效率的主要影响因素
袋式除尘器的除尘效率主要受粉尘特性、滤料特性、滤袋表面粉尘堆积负荷、过滤风速等因素的影响。
(1)粉尘特性的影响。袋式除尘器的除尘效率和粉尘粒径的大小及分布、密度、静电效应等特性有直接关系。
粉尘粒径直接影响袋式除尘器的除尘效率。对于lμm以上的尘粒,除尘效率-般可 达到99.9%。小于lμm的尘粒中,以0.2~0.4μm尘粒的除尘效率低,无论对清洁滤料或积尘滤料都有类似情况。这是因为对这一粒径范围内的尘粒而言,各种捕集粉尘方式的效应都处于低值区域。
尘粒的静电效应越明显,除尘效率越高。利用这一特性, 可以预先使粉尘荷电,从而提高对微细粉尘的捕集效率。
(2)滤料特性的影响。滤料的结构类型与表面处理的状况对袋式除尘器的除尘效率有显著影响。在普通情况下,机织布滤料的除尘效率较低,特别当滤料表面粉尘层尚未建站或遭到破坏的条件下更是如此;针刺毡滤料有较高的除尘效率;而新浮现的各种表面过滤材料与水刺毡滤料,则可以获得接近“零排放”的理想效果。
(3)滤袋表面堆积粉尘负荷的影响。滤料表面堆积粉尘负荷的影响在使用机织布滤料的条件下为显著。此时,滤料更多地起到支撑结构的作用,而起主要滤尘作用的则是滤料表面的粉尘层。在换用新滤袋与清灰之后的某段时间内,由于滤料表面堆积粉尘负荷低,除尘效率都较低。但对于针刺毡滤料,这影响则较小。 对表面过滤材料而言,这种影响不显著。
(4)过滤风速的影响。过滤风速太高会加剧过滤层的“穿透”效应,从而降低过滤效率。过滤风速对除尘效率的影响更多表现在使用机织布滤料的情况下,此时较低的过滤风速有助于建站孔径小而孔腺率高的粉尘层,从而提高除尘效率。即使如此,当使用表面起绒的机织布德料时,也可使过滤风速的影响变得不显著。当使用针刺毡滤料或表面过滤材料时,过滤风速的影响主要表现在除尘器的压力损失而非除尘效率方面。试验表明,对于绒布与毡料速料,过滤风速增添,对除尘效率影响不大;但对于玻璃纤维与平绸滤料,其除尘效率随过滤风速的增添而显著下降。
(5)清灰的影响。滤袋清灰对除尘效率也有肯定的影响。清灰可能破坏滤袋表面的一次粉尘层,从而导致粉尘穿透、排放浓度增添。
目前,“适度”清灰的概念受到关注,滤袋清灰并非越彻底越好,而应在实现除尘器低阻力的前提下,把清灰强度操纵在合理的限度,减少对
高效过滤器
的除尘效率的影响。
AAAJYUIYFHGE
上一个:
什么是高效过滤器的长袋低压脉冲袋式除尘器?
下一个:
高效过滤器的袋式除尘器的适用哪些场合?
{版权声明}:
本站发布的有些文章部分内容来源于互联网。如有侵权,请联系我们,我们会尽快删除。
相关新闻
高效过滤器H13和H14的区别?
2018-09-11
新风系统中初效过滤器与高效过滤器有什么区别?
2018-09-11
高效过滤器
2018-09-11
中效过滤器
2018-09-12
初效,中效,高效过滤器有什么区别?
2018-09-12
栏目导航
wwe星空体育
+
flfa星空体育
+
科技创新
+
新闻中心
适应严苛烘干条件的高效过滤器设计与
满足严格净化要求的化纤中效袋式过滤
选择H13高效过滤器的关键因素与注
化纤行业中效袋式过滤器的应用解析
高温过滤器在烘干设备中的高效应用
联系我们
联系人:张小姐
手机:18914909236
电话:张小姐189-1490-9236
邮箱:cracsales08@cracfilter.com
地址: 江苏省苏州昆山市巴城镇石牌工业区相石路998号
联系
手机
分类
顶部
map